2026年重庆康德二诊于4月11日结束,目前官方划线尚未公布,可以先参考2025年数据:物理类本科线405分、特控线475分;历史类本科线429分、特控线501分。
本文将收集2026年重庆康德二诊分数线及一分一段表,还分析了利用模考成绩初步规划志愿的方法,可供参考。

一、2026年重庆康德二诊分数线
尚未出炉,预计考后一周左右公布,届时本文会同步更新。目前可以先在下方查阅近三年重庆康德二诊分数线及一分一段表信息。
二、2025年重庆康德二诊分数线
物理类:本科线405分、特控线475分;
历史类:本科线429分、特控线501分。
各科平均分可见下表:

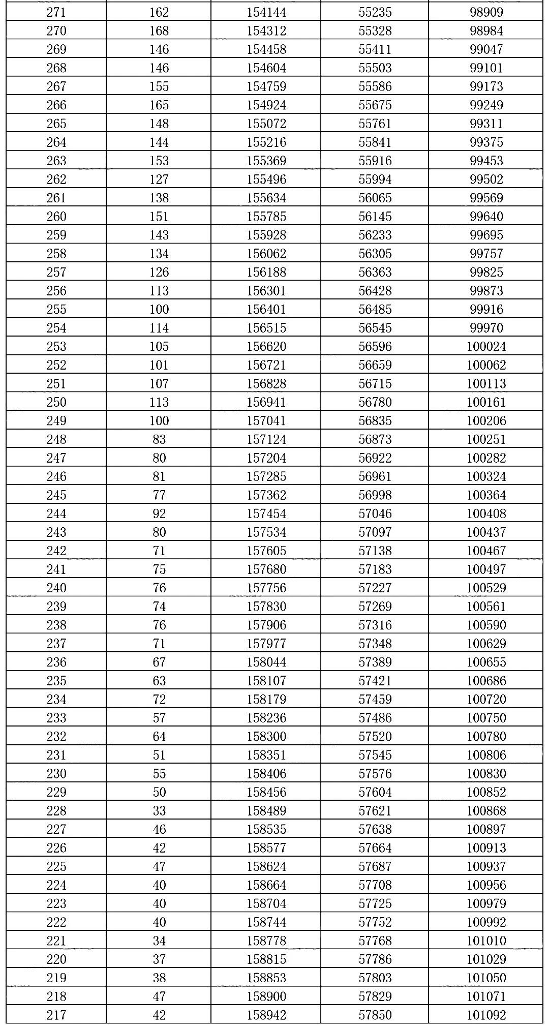
2025年重庆康德二诊参考的考生人数超19.6万人次,历史类累计有效参考约6.6万人,物理类累计有效参考约13万人。下面是2025年重庆康德二诊全市一分一段表(赋分后):




三、2024年重庆康德二诊分数线
此次考试历史类考生人数达60633人,物理类人数达122083人。官方划线后,物理类本科上线人数达87906人,历史类本科上线人数达29695人。
具体划线情况如下:
物理类:特殊类分数450分,本科批分数391分;
历史类:特殊类分数470分,本科批分数401分;
其中各科上线达标分如下:

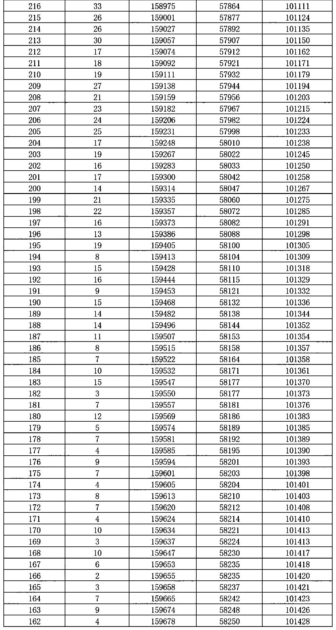
如果说分数线能判断考生目前的学习成果,那么位次就能直接展现考生的高考竞争力,为帮助大家找到自己目前的定位,下面附上2024年重庆康德二诊全市一分一段表(赋分后),以供参考:

二诊考试难度一向最接近高考,因此用二诊成绩来做志愿初步定位再好不过。
这里老师教大家一个“线差法”,先将模考成绩转换为去年的高考预估分,再对照去年高考一分一段表得到高考预估位次,最后利用高考预估分和高考预估位次来筛选志愿院校即可。
其中预估分转换公式如下:
高考预估分=模考成绩-模考批次线+去年的批次线
四、2023年重庆康德二诊分数线
为给大家做参考,小编收集了2023年重庆康德二诊的分数线情况,其中本科线和特控线如下:
物理类:本科批分数381分(上线28131人),特殊类分数447分(上线47736人)
历史类:本科批分数396分(上线18164人),特殊类分数474分(上线12298人)
各学科有效分情况如下:
物理类:
特控线:语93分、数75分、英88分、物48分、化71.5分、生71.5分、政71.5分、地71.5分;
本科线:语86分、数60分、英72分、物36分、化63.5分、生63.5分、政63.5分、地63.5分;
历史类:
特控线:语98分、数63分、英94分、历65分、化77分、生77分、政77分、地77分;
本科线:语88分、数47分、英72分、历56分、化66.5分、生66.5分、政66.5分、地66.5分;
全市各科平均分情况见下表:

四、2023年重庆康德二诊一分一段表
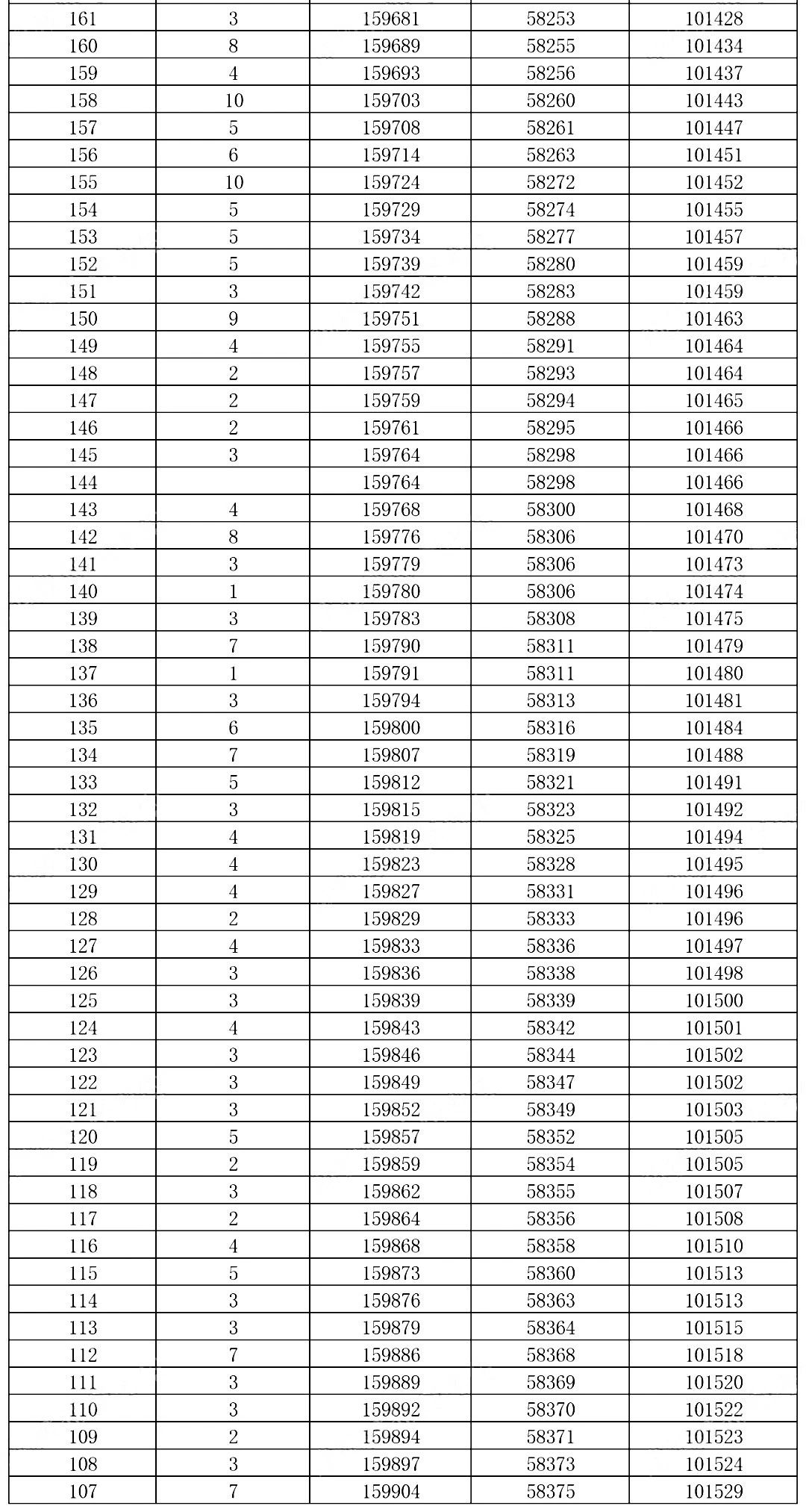
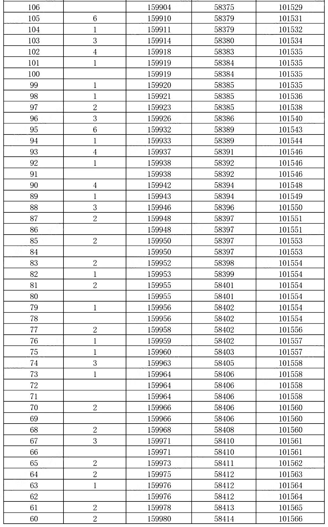
本次考试的一分一段表分数都是赋分之后的成绩,其中物理类分数在700分以上的有10个,高分段考生数量相对较多,如果是高考实况,志愿竞争也会更为激烈一点。
下面是具体的一分一段表:












文章收集于网络,如有侵权请联系我们,我们会第一时间删除,文章中涉及广告内容请自行甄别!。发布者:马老师,转转请注明出处:https://www.niedai.com/5046.html